重大新闻 !财务部下发45亿,影响IVD行业!
2024.07.11

7月2日,据财政部网站消息,财政部、国家卫生健康委、国家疾控局发布《关于下达2024年重大公共卫生服务补助资金预算的通知》


图片

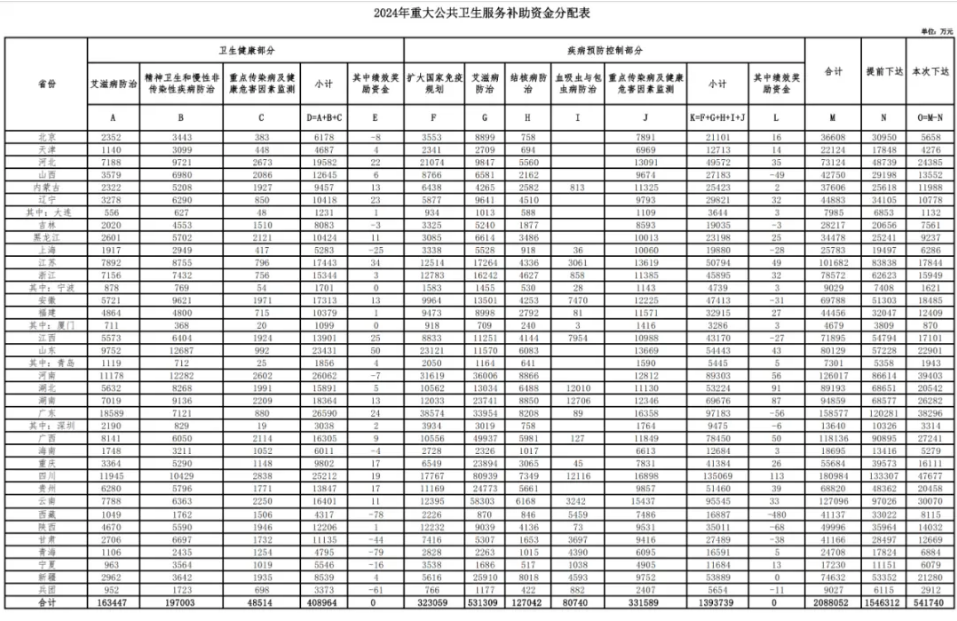
通知显示,本次下达重大公共卫生服务补助资金预算约54亿元,加上提前下达的约154亿元,共计下达资金约208亿元。


根据财政部网站公布的《2024年重大公共卫生服务补助资金分配表》,今年重大公共卫生服务补助主要用于艾滋病、结核病、血吸虫病、包虫病的防治以及重点传染病及健康危害因素监测等,此外还包括精神卫生和慢性非传染性疾病的防治。

图片


《2024年重大公共卫生服务补助资金分配表》

东南大学医疗保险与社会保障研究中心主任张晓表示,“公卫补助主要用于国家公共卫生服务项目的支出,相对于基本公卫服务补助,重大公卫服务补助更有针对性,主要以影响居民健康的重大传染病防控为目标”。


“像艾滋病这类传染病,社会经济影响深远,防控成本较高,国家每年会有专项的补助资金。近些年,精神类疾病的疾病负担越来越重,也是重点防控目标。”张晓补充道。

重大公卫服务补助资金

具体用在哪儿、怎么用?

今年5月,财政部、国家卫生健康委员会、国家医疗保障局、国家中医药局、国家疾病预防控制局联合印发《重大公共卫生服务补助资金管理办法》


其中提到,该资金主要用于符合规定的药品治疗等需方补助和医疗卫生机构开展重大公共卫生服务目标人群随访管理、加强实验室建设和设备配置、监测及干预等支出。


张晓表示,“公卫补助更多是用来防控的,主要投向基层疾病预防与控制中心等医疗卫生服务机构,很多人似乎没有充分感受到它的存在,但实际上每个居民都是公卫服务的服务对象、受益者。公卫补助是重要的民生项目,跟医保基金的管理严格程度是一样的,要确保资金专项落实,形成监管闭环,保障和提高资金的使用效果”。